Навигиране до основното съдържание
OLX Christmas Logo
Чат

Нотификации

Добави обява
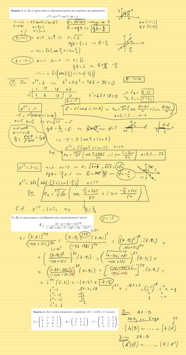
Уроци по Висша математика за студенти - онлайн или присъствено
Уроци по Висша математика за студенти - онлайн или присъствено
Уроци по Висша математика за студенти - онлайн или присъствено
ПромотирайОбнови

Частна

Описание

Помагам:
- за да разберете по-добре учебния материал
- при подготовката за изпити
- в разработката на курсови и домашни работи
ID: 146448606

Контакт с продавача

Павлин Цонев

В OLX от февруари 2016 г.

Последно онлайн 16 декември 2025 г.

xxx xxx xxx

Добавена 16 декември 2025 г.

Уроци по Висша математика за студенти - онлайн или присъствено

Потребител

Локация

Свали приложението на OLX за твоя телефон!